3、海の波 大海の磯もとどろによする波
われてくだけてさけて散るかも
源 実朝
|

単一の波実際の海の波は複雑な様相を示しているが、それは波長の異なるいくつもの波の重なり合いとしてと らえることができる。それを構成している一つの波はトロコイドという曲線で表される。トロコイドとは、ころがる円と共に回転する点が描く軌跡で、山の幅が狭く谷の幅が広い形なっている(下図)。水の粒子が円運動しているために、波の形は正弦波ではない(水の粒子が上下に単振動していれば正弦波になる)。このとき水面の水粒子が描く円の直径が波高、円周が波長ということになる。 |

|
水粒子の運動、太線が波形 母円は上辺に沿って転がっている
また下図のように水面下の水粒子の運動は水深に応じて減衰する。波長の1/2の水深では、水粒子の動きは水面の4%程度になるので波の影響は無いと考えてよい。 |

|
海の波の伝わる速さはどのくらいだろうか。 深海波(表面波)水深が波長の1/2より大きい場合、海底の影響をほとんど受けないので、このような波を深海波(表面波)という。深海波の波速C(m/s)は近似的に波長L(m)だけで決まり で表される。 また、波長と波速、周期T(s)には次の関係がある。 風波 : 海上で普通に見られる風波の波長は数十m程度なので、大雑把に100mとして計算すると、波速は12.5m/s(45km/h)、周期は8.0秒になる。 うねり : 海の波は主に風によって発生し発達するが、発達した波は風がない海域に入っても次第に減衰しながら遠くまで伝播する。このとき、波長の短い波ほど早く減衰するので、波長の長い波だけが残ることになる。このような波をうねりという。 うねりの到達時間台風が北緯20度線を越えるとうねりが到達し始めることが経験的に知られている。北緯20度付近にある台風からのうねりの到達時間を計算してみよう。仮に、うねりの周期を12秒とすると波長は225m、波速は18.7m/s(67km/h)になる。ただし、次の理由によって波速18.7m/sは使えない。 位相速度と群速度桟橋に立って沖から寄せてくる一つの波の峰に注目していると、いつの間にかその峰を見失ってしまう、といった経験をした人も多いだろう。池に石を投げ込んだ時の 個々の波の伝わる速さは位相速度、波が全体として伝わる速さは群速度と呼ばれ、深海波では群速度は位相速度の1/2になる。波のエネルギーは群速度で伝わってくるので、うねりの到達時間を計算するには位相速度ではなく群速度を用いて計算しなければならない。前記の波長225mのうねりは、位相速度は18.7m/s(67km/h)だが群速度はその1/2の9.4m/s(34km/h)。大島と北緯20度付近までの最短距離はおよそ1600kmなので、うねりの群速度34km/hで割ると、47時間という結果が出る。小笠原の南、北緯20度付近にある台風からのうねりは、2日がかりでやってくる。 このことはまた、台風が台湾方面から大陸へ上陸して衰弱しても、2〜3日はうねりがおさまらない、ということにも関係している。
船の曳き波さて、ここでもう一度タイトルの背景写真をご覧いただきたい。 |

| 今、一隻の漁船が波浮の港にゆっくりと入港してくる。船が進む時につくる波を曳き波というが、漁船の後方にハの字形に広がる曳き波が見える。
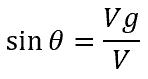
右舷側の曳き波に注目してみよう。小さな波の列がハの字の曳き波を構成していることがわかる。小さな波が生まれては消えることをくり返しながら位相速度で進み、全体として曳き波自体は群速度で伝わっている。 船の進行方向と航跡波のなす角をθ、船の速さをV、航跡波の群速度をVgとすると、 |


ははじま丸出航風景 曳き波が美しい
伊豆諸島開発【公式】御船印第三番社のツイッター(X)より
https://twitter.com/izu_shibaura/status/1753556029336596979
浅海波(長波)水深が波長の1/2より浅くなると波は海底の影響を受けはじめる。更に浅くなり水深が波長の1/25より浅い波を浅海波(長波)という。浅海波の波速は波長には関係なく近似的に水深h(m)だけで決まり
で表される。 波長が数十mから数百mの風波やうねりが海岸に近づくと、水深が数mのところから浅海波の性質を持つようになる。水深が浅いほど波速が小さいので、遠浅の浜に寄せてくる波は屈折して、浜に向かって直角に(波面は浜に平行に)進んでくる。注、波は遅い方に曲がる。また、サーファーが好む巻波や崩れ波も、波の峰では水深が深く、谷では浅いことが影響して、峰が谷に追いつき追い越すことによって発生する。このような波を砕波という。高潮の項でも述べたように、砕波は海水を輸送する。 津波2011年3月11日の東日本大震災では大津波で甚大な被害を被った。死者、行方不明者21176人(気象庁資料、2013,3,26現在)のうち殆どが津波によるとものとみられている。 |

|
浅海波(長波)では位相速度と群速度は等しいのでこれを分けて考える必要はない。遠浅の浜に寄せてくる波が海底を感じるようになってからは、もはや、注目している波の峰を見失うことはない。波の峰は浜で砕けて消えるまでその峰を維持している。そうでなければ、サーフィンは成り立たないだろう。 有義波海面の波は複雑で様々な波高の波が混在している。これを表現するためには何をもって波高とするかを決めておかなくてはならない。そのために、全ての波高のうち大きい方から1/3とって平均したものを採用する。これを有義波高といい、人が直感的に感じる波の高さに近いそうだ。ふつう、天気予報などで使う波の高さは有義波高のことである。統計的な話なので、もっと高い波も当然あり、100波に1波は1.6倍の波高、1000波に1波は2倍の波高の波がやってくるとされている。周期9秒のうねりの場合、1000波は2時間30分。磯の岩が乾いているからといってその岩が安全という保証はない。風波がおさまってもうねりはしばらく残る。シケの後のこのようなときに釣り人が波にさらわれる、といった事故が発生しやすいので注意しなければならない。 波の発達海の波は風によっておこり、暴風時には巨大な波に発達する。ただし、風速だけでなく、風が吹きわたる距離、風が吹いている時間にも関係する。それぞれ、吹走距離、吹続時間という。スベルドラップとムンクがそれを体系化して、第2次世界大戦の時、ノルマンディー上陸作戦で大きな役割を果たしたそうだ。更にブレッドシュナイダーが改良したグラフ、SMB図を下に示す。 |

SBM 図 波高推定曲線
|
図から波高と周期を読み取るには、@風速と吹走距離、A風速と吹続時間から求めた波高と周期の小さい値を採用する。 |

気象庁大島測候所 伊豆諸島北部に影響のあった台風 より
|
南西の風の場合、大島の西側から東京湾の湾口にかけて波が発達し、北東の風の場合は相模湾の吹走離は50km以下で、波は十分に発達しないことがわかる。ただし、北東風が広い範囲で強いときには、鹿島灘や房総沖で波が発達し、うねりとなって北東から進入するので、岡田港が影響を受けることもある。西風の図は示さなかったが、冬の西風が強いとき、ジェットフォイルの東京便が欠航でも熱海便が就航することがあるのもうなずける。 |